Page 80 - ISX Year Book 2019 E
P. 80
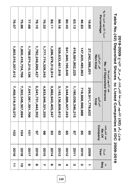
جدول رقم ( )42الأسهم المودعة للشركات في مركز الايداع 2019-2009
Table No.(42) Deposited Shares to Listed Companies at IDC 2009-2019
نسبة الأسهم المودعة % عدد الأسهم المودعة عدد الشركات السنة ت
Percentage No. of Deposited Shares No.Of Year Seq
غير العراقيين العراقيين Company
Non-Iraqi Iraqi
18.85 27,242,388,201 256,911,778,622 85 2009 1
46.83 147,825,485,963 718,868,988,988 85 2010 2
63.13 418,581,802,225 1,190,038,346,215 87 2011 3
80.43 641,840,165,640 2,344,886,427,243 85 2012 4
88.16 939,633,461,818 3,143,136,809,912 83 2013 5 119
92.11 1,296,979,312,914 3,982,943,405,347 83 2014 6
76.22 1,777,774,329,243 4,933,946,321,225 98 2015 7
78.10 1,792,249,695,427 5,541,731,444,352 97 2016 8
77.68 1,798,974,210,126 7,041,061,391,706 101 2017 9
75.86 1,800,416,724,768 7,302,548,367,694 104 2018 10
76.07 1,803,015,207,612 7,459,519,519,072 102 2019 11

